Dataset Browser

No Solutions Calculator

No Solutions Calculator

This No Solutions Calculator helps users identify equations and mathematical problems that genuinely have no possible answer. It's an invaluable tool for students and educators to understand concepts like undefined equations or impossible algebraic scenarios, providing clear insights when conventional solutions simply don't exist. Use it to explore why certain mathematical expressions yield no valid results.

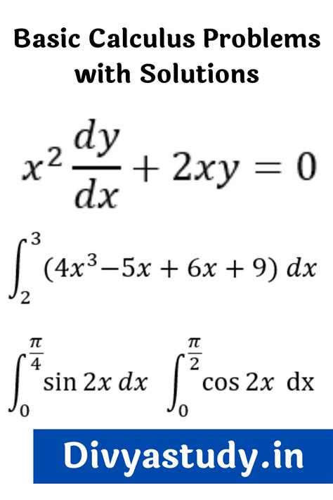
Calculus Single Variable 5e Solutions

Calculus Single Variable 5e Solutions

Unlock comprehensive solutions for Calculus Single Variable 5th Edition problems. Our resource provides detailed, step-by-step answers designed to enhance your understanding of single variable calculus concepts, offering invaluable support for homework and exam preparation. Easily navigate challenging math problems with these reliable calculus solutions.

Chandrika Prasad Mathematics For Engineers Solutions

Chandrika Prasad Mathematics For Engineers Solutions

Discover comprehensive solutions to complex problems from Chandrika Prasad's Mathematics For Engineers. This invaluable resource is designed specifically for engineering students and professionals, offering clear, step-by-step guidance to master engineering mathematics concepts and tackle challenging equations. Perfect for anyone seeking reliable math solutions for engineers to enhance their understanding and achieve academic or professional success.

Contemporary Abstract Algebra Gallian Solution Manual Pdf

Contemporary Abstract Algebra Gallian Solution Manual Pdf

This comprehensive solution manual for 'Contemporary Abstract Algebra' by Gallian offers detailed, step-by-step solutions to exercises and problems. An essential PDF resource for students and instructors, it clarifies complex abstract algebra concepts and problem-solving techniques, ensuring a deeper understanding of the subject matter.

Mathematics Asit Solutions Das Gupta

Mathematics Asit Solutions Das Gupta

Unlock in-depth Das Gupta Mathematics Solutions crafted as your ultimate Asit Math Problem Solver. This comprehensive resource serves as an essential mathematics study guide, offering clear, step-by-step explanations for mastering complex concepts. Enhance your understanding and problem-solving skills with these expert mathematical solutions, perfect for students and professionals seeking robust applied math resources.

Law Of The Donut Multiplying Polynomials Answer

Law Of The Donut Multiplying Polynomials Answer

Unlock the secrets of multiplying polynomials with the unique 'Law Of The Donut' method. This comprehensive guide provides a clear and intuitive answer to complex algebraic problems, making polynomial multiplication easy to understand. Discover how to effectively apply foundational math concepts and master the art of combining expressions with this engaging explanation.

finite and discrete math problem solver problem solvers solution guides

finite and discrete math problem solver problem solvers solution guides

Struggling with finite or discrete mathematics problems? Our problem solvers and solution guides offer comprehensive assistance to help you understand concepts and master problem-solving techniques. Whether you need help with logic, sets, relations, graph theory, or other discrete math topics, find the resources you need to excel.

Bing Answers Math

Bing Answers Math

Discover how Bing answers math problems, offering users a powerful online math calculator and solver directly within its search interface. Whether you need help with basic arithmetic, algebra, geometry, or calculus, Bing provides step-by-step solutions and explanations. This feature makes learning and understanding complex mathematical concepts much easier, providing quick and accurate math help whenever you need it.

1 Problems Word Eoc Solutions Algebra With

1 Problems Word Eoc Solutions Algebra With

Discover expert strategies and clear solutions for challenging algebra word problems, specifically tailored to help you excel in your End of Course (EOC) exams. This resource provides detailed guidance to master complex math scenarios, offering step-by-step approaches to solve algebra word problems efficiently and boost your overall algebra problem-solving confidence for critical assessments.